• 首页
  • 学院概况
    • 学院简介
    • 组织架构
  • 党建园地
    • 党建动态
    • 学习资料
  • 双带头人工作室
    • 工作室概况
    • 工作室制度
    • 工作室动态
    • 工作室成果
  • 专业建设
    • 专业设置
    • 师资队伍
    • 校企合作
    • 教学成果
    • 教学动态
  • 团学风采
    • 团学组织
    • 团学活动
  • 招生就业
    • 招生资讯
    • 就业信息
    • 数创榜样
  • 下载中心
  • 学生作品
    • 图片作品
    • 视频作品
    • 艺绘未来
    • 妙笔丹青
    • 时光留影
    • 精工巧手
  • 首页
  • 学院概况
    学院简介
    组织架构
  • 党建园地
    党建动态
    学习资料
  • 双带头人工作室
    工作室概况
    工作室制度
    工作室动态
    工作室成果
  • 专业建设
    专业设置
    师资队伍
    校企合作
    教学成果
    教学动态
  • 团学风采
    团学组织
    团学活动
  • 招生就业
    招生资讯
    就业信息
    数创榜样
  • 下载中心
  • 学生作品
    图片作品
    视频作品
    艺绘未来
    妙笔丹青
    时光留影
    精工巧手

通知公告

  • 新闻中心
  • 通知公告
  • 学院风采
您现在的位置: 首页 » 通知公告 » 正文

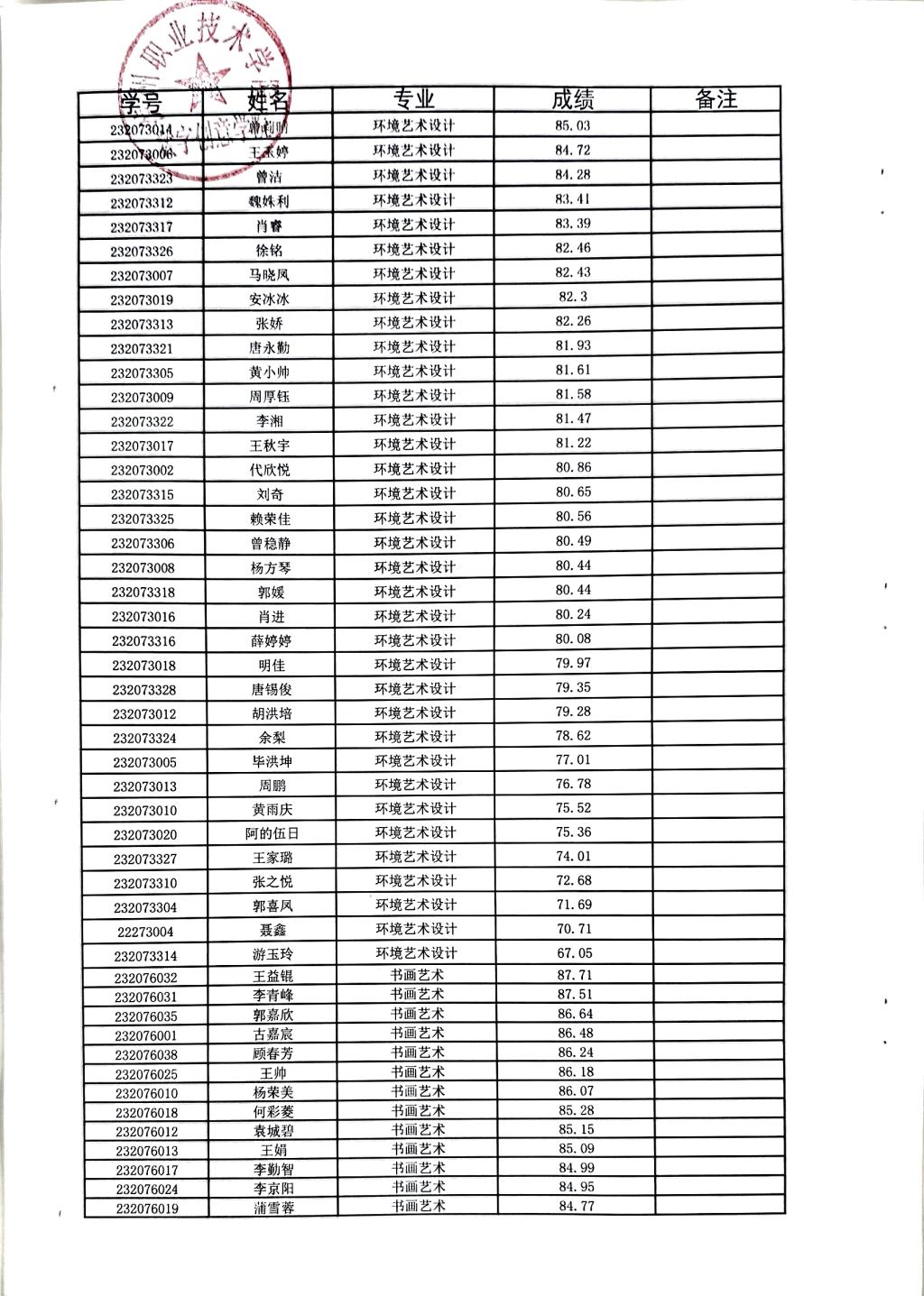
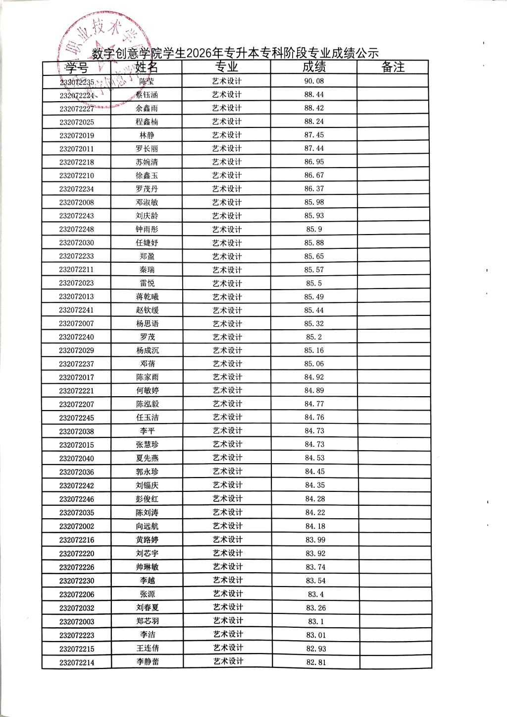
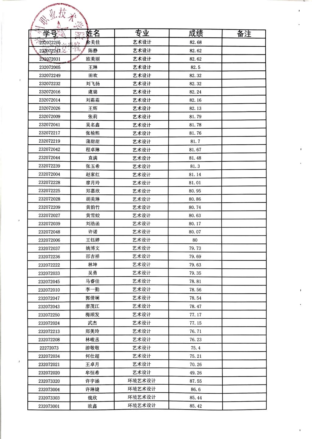
数字创意学院学生2026年专升本阶段专业成绩公示

发布时间:2025-12-26


上一篇:数字创意学院2025级转专业考试成绩公示
下一篇:泸州职业技术学院数字创意学院转专业工作实施细则

地址:四川泸州龙马潭区长桥路2号
行政办公室电话:0830-3152231
学工办公室电话:0830-3119749

快速通道

  • 正方教务
  • 开放课程
  • 质量工程
  • 管理入口
  • 招生QQ群

  • 数创未来

  • 抖音号

Copyright © 2021 泸州职业技术学院数字创意学院版权所有    技术支持:信息技术中心